See: TimberFish Technologies and Language of Wisdom
Ecological Intelligence
Why do we need Ecological Intelligence? Because there are some problems that science cannot solve.
When we are born we are aware of ourselves, our mother and family, and lots of other stuff out there. As we grow we develop understanding. We learn language and increasingly detailed descriptions of our personal experiences. We become functional adults in a global society. Eventually, some of us also become aware that we as individuals, our social structures, and our environment might have some significant problems. From my personal perspective these comprise increasing environmental pollution and destruction (Climate Change), a rise of excessive wealth inequality, and an increase and concentration of autocratic forms of governance. For whatever reason science and society have not been able to resolve these problems.
I believe that Ecological Intelligence (EI) may be the tool that will allow all of us to do something about this. Most of us already have some sort of intuitive understanding of EI and it is compatible in structure with the normed division algebras in modern mathematics. The hypothesis is that we may be able to solve some of our major current problems by combining EI with science in those problem areas where science has not been successful, problems that are difficult to measure with real numbers and solve by writing equations.
Start by defining Ecological Intelligence (EI) as the fundamental structure and process by which biological ecosystems and their constituent organisms and subecosystems make decisions. These decisions are what initiate all the actions by which the ecosystems and organisms function and evolve on our planet Earth.
Given our current understanding of the universe and the origin and evolution of life, it appears that EI has been developing for a long time. It occurs as a dominant characteristic of all of life as we know it. This includes each organism, each species, and the constituent ecosystems and environments within which they all live.
As we humans have evolved it was also expressed by our spoken languages and art, and the ornamentation, tools, structures, and organizations we created. Then we started writing, started creating a symbolic formalism that could persist beyond the life of any individual. This extended the capabilities of EI into a new Human Intelligence (HI) that incorporated measurement and calculations, which were not generally present in the rest of the biological universe.
Knowledge about the use of number and measurement existed in language before writing but with this new capability its use and sophistication expanded rapidly. This in turn led to the development of modern mathematics, science, and the adoption of the reductionist paradigm as major factors in HI. Unfortunately, an overshadowing of EI by HI at the societal and environmental level has now led to the problems mentioned before, Climate Change, widespread environmental pollution, extreme wealth inequality and increasing autocratic governance.
We all still use EI in our daily lives but the success and power of our emerging scientific HI has essentially replaced EI at the political, economic, and environmental level. These are organizational levels where measurement and mathematics often do not apply or do not generate useful or beneficial results. Reincorporation of EI in these areas should allow us to correct the problems we have created with an over reliance on science and mathematics in such areas where measurement is often not possible or accurate.
This document will comprise three sections. The first will provide some examples of EI to create an intuitive understanding of what it is and how it is relevant to your own personal experience. The second section will trace the historical development of EI, how Human Intelligence (HI) evolved from EI, and how this has generated some of the critical problems and issues that humanity is currently facing. The third section will provide more technical discussions as to what EI is, how it works, why it is important, and how all of us can lead happy and more sustainable lives by being aware of it.
Section I: Examples of EI
1 Through Art: Example. Look at the sculpture and philosophy of Lynn Northrop. See Lynn Northrop She developed the idea of a Seed Crystal. This idea is incorporated into sculptures that are also Seed Crystals and which often incorporate other Seed Crystals. They illustrate the incredible connectivity and evolutionary capability of who we are, our universe, and the planetary ecosystem within which we live. Here are two examples.
![]() | ![]() |
The concept is that everything is related in a multitude of ways and that this can be illustrated with objects that comprise many different materials and things. These have connections and history with all aspects of our human personal experience. Here is a sample of how she describes her work.
"My work is entirely made of stories. Art is a dialogue between the artist and the viewer but my raptors add additional voices to the conversation. Since my birds are comprised of objects once owned or worn or used by others, their voices too must be included and their stories heard. Some objects are easily discarded, some, even though they have no monetary value, are kept for generations. These are the true connectors to people who are absent, to places once enjoyed, or to a story often retold. These objects can be anything – a shell, a pen, a key that magically becomes meaningful, the things that become heirlooms, souvenirs, love tokens, or good luck charms.
We are connected through the stories that these objects tell. Old tools that were carried to work every day, worn machine parts no longer essential, and schoolroom dip pens no longer in fashion. Some objects tell their own stories: the worn thin masonry trowel, the old Christmas tree stand, the carnival mallet beat to shreds by strong men, and the student violin. All are parts of my birds.
Some objects have a backstory like the box of rusty straight razors from my husband’s grandfather that became wing bars in one of the birds, or the basket, given by a friend that became the breast of another. There are many odd bits and pieces donated by friends and strangers that are incorporated in my work. Feathers, seeds, stones, and bones add the voices of Nature with stories of weather, hardship, and the wonder of survival.
All these voices, when combined in my birds, become amplified and tell of the connectedness of all things. Art can do that. They tell of the journeys these objects have taken, the many hands that have held them, used them, loved them, … including my own."
While art and an aesthetic interaction lead the way in understanding EI there are many additional paths to follow. These include:
2 Through the building and operating of ecotechnology systems: For example. See the TimberFish Ecotechnology systems which range in size from Table Top - Basement Models to Commercial Systems. These are described in detail on this site. See: TimberFish Technologies
![]() | ![]() |
3 Through constructing and using Languages of Wisdom: Examples. See the Divisions of Everything and Derivation of Archetypal Meaning on this site, at Language of Wisdom
These Languages of Wisdom do not need words but communicate structure and function through the use of symbolic formalisms.
![]() | ![]() |
4 Through advanced mathematics: Example. The success of Modern Physics and its derivative technologies points to a requirement of including the normed division algebras into our descriptions of our personal experiences with a perceived external reality. Specifically, consider the necessity of using quaternions in Quantum Mechanics. This introduces a level of uncertainty in our descriptions of individual particle behavior. This can be expanded into our notion that particles could be organisms and that the structural patterns of the quaternions and octonions could be guidelines for successful human behavior. See the Ecological Intelligence Module for a possible example and Math 4 Wisdom for more mathematical background. Here is a basic representation of a quaternion where i is equal to the square root of minus one,
![]() |
5 Through study and interaction with Indigenous Peoples.
Many Indigenous communities have a culture and tradition that comprise a comprehensive way of life, or a way of knowing. This includes a deep relationship with their land which they consider to be a living entity inhabited by spirits who guide and help them. It also includes all other living things as well as inanimate objects which are often viewed as have a spirit or soul. This gives them a profound sense of stewardship of their environment and a desire to live their lives in a balance that sustains both the earth and themselves.
EI supports these world views and offers an explanation as to why they are valid in many areas where existing science cannot measure or quantitively describe our personal experiences. Many indigenous languages are passed on via oral traditions and thus have not been subjected to representation with the types of complex symbolic formalisms that have led to advanced mathematics. Thus there has been no incentive to try to explain all of our personal experiences scientifically with measurement and equations. Consequently a sensitivity and empathy with Nature remains as the primary guide as to how to live and function.
Section II: Historical Development and the rise of Human Intelligence
To get a sense as to where EI comes from consider our current model of the universe, or at least our relatively local part of it. We and all other known living organisms live in an ecosystem on a planet which revolves around a sun, and all of this exists in a larger mostly empty space. The planet receives energy in the form of light from the sun, and since the planet rotates as it revolves around the sun, the ecosystem on the surface of the planet experiences alternating periods of light and darkness. The periodic flow of energy through the atomic substances on the surface of the planet has an organizing effect and this is what generates evolution. An approximate historical timeline in years for life and its evolution on our planet is as follows.
4.5 billion origin of the earth
3.5 billion origin of life on earth procaryotes bacteria and archaea, photosynthesis by cyanobacteria
1.8 – (2.7) billion origin of eukaryotes
1.6 billion origin of plants, multicellular organisms
574 million origin of animals
3 million origin of stone technology by early humanoids
1 million origin of fire technology
500,000 origin of cooking
200,000 to 300,000 origin of modern humans homo sapiens
18 thousand pottery ceramics
6,000 – 5,500 years ago urban civilizations Sumerians (4,000 – 3,500 BC), includes first writing, cuneiform
There are a large number of languages and actions that organisms and ecosystems have used in this historical development. This started with the inclusion of nucleic acids (RNA and DNA) as codes in the initial biological organisms. Over the course of millions of years certain additional patterns have evolved in Nature that enhance this linguistic capability in our particular planetary environment. By observing and working with Nature we can get a sense of these patterns. Describing them will give us a path to follow to learn and understand EI. Consider the following examples of behavior that exemplify EI.
First, Nature is essentially democratic. Organisms usually make their own decisions and this is not dependent on other similar organisms of the same species. There are local exceptions of this but they usually apply to situations related to mating or survival in situations where food is scarce. An example is the alpha leader of a pack or herd.
Second, organisms do not collect and store food or other resources in extreme excess for a perceived future need. There is no extreme wealth inequality. An example is the amount of seeds or nuts that rodents store or hide for an expected future need such as for winter. This is limited to what the individual organism can actually do by itself and does not involve coercion or control of other organisms to achieve the collection of wealth.
Third, virtually all organisms and ecosystems operate with the same form of energy “currency”. This involves photosynthesis and the oxidation of carbon and hydrogen in organic molecules. Other forms of chemical oxidation and reduction reactions do occur but they are not the basis of our global ecosystem and its constituent ecosystems.
Fourth, there is no wide spread misinformation or knowledge that contradicts what is essential, sustainable, and relevant within the various ecosystems. There is mimicry and ambush predators, but these are examples that are usually restricted to local or species specific occurrences, and do not apply to larger ecosystem type environments.
Fifth, there is only locally restricted use of the concept of private property. A nest or burrow or a breeding range may exist and be defended for a brief interval of time, but this is generally only applied to inter and intra species interactions for mating and young rearing time periods. This relates to our human density which comprises about four acres of terrestrial land per person at present. Factoring out mountains, deserts, and ice covered land results in about an acre of land per person for our individual use as stewards and not destroyers.
Sixth, no single organism owns or controls an ecosystem and the organisms that comprise that ecosystem. There are predator prey relationships but they are restricted to local areas where direct physical interaction is possible.
You will notice that in our current human society we don’t normally follow all of these EI patterns. This contrasts with what was our normal behavior for millions of years before we recently developed technology and urban civilization.
By reintegrating EI types of understandings into our current Human Intelligence (HI) we might resolve some of our current problems that have arisen or been enhanced by our obsessive focus on machine like technology instead of biological processes.
Thus we propose to consider and study EI and how we can use it in our personal daily lives and the social interactions we have as members of our human society and our global ecosystem. This will include working with ecological systems and ecotechnology; studying the foundational nature of language, including how its symbolic representation can lead to misinformation; and examining how modern mathematics derives from language and can offer clues as to how to make our natural languages more compatible with EI.
Section III: Technical and mathematical development
It is critical to note that all of the organisms mentioned above are comprised of at least 16 atomic elements (list?) and that they are contained in a molecular boundary with proteins and nucleic acids. The nucleic acids formed polymers that coded for the proteins and boundary structure and allowed the resulting organisms to reproduce. Changes in the nucleic acid structure, caused by mistakes or radiation or other factors, allows for different organisms to be produced. Their survival and further reproduction being determined by their success in surviving in the environment (ecosystem) within which they lived.
The global ecosystem contains a variety of living organisms categorized as microorganisms, plants, and animals and these organisms are comprised of cells. Some of the microorganisms and plants are photosynthetic and can trap some of the light energy by converting carbon dioxide and water into carbohydrate inside their cell bodies. All three types of organisms can convert carbohydrates into a variety of larger storage or structural molecules or they can oxidize them back into carbon dioxide and water. This last interaction then produces energy which the organisms can use for a variety of activities. When this occurs some of the energy is lost and this lost energy eventually will be radiated back into space.
The flow of energy through the ecosystem has an organizing effect on all of the material and organisms in the ecosystem and this is called evolution.
The information contained within the nucleic acid structure, and possibly in the proteins and other macromolecular compounds in the organism, is crucial to the decisions that initiate the actions of the organism that allow it to survive and reproduce. Up until about 3 million years ago all of this information seemed to be internal to the organism. However, the organisms clearly interacted with each other and this interaction itself also seems to be organized by the flow of energy through the planetary system. This generates a larger view of the evolutionary process. It is not just the actions and evolution of the organisms themselves but also the actions and evolution of the ecosystems which are contained within the organism and which actually contain the organisms.
This all goes back to the nature of the energy flow at the surface of the planet. Initially science described this in terms of thermodynamics. Total heat equals usable heat and entropy, entropy viewed as wasted or unusable heat. But information theory also sees entropy as a measure of information and this leads to its role in the decisions of the organism as it acts.
To continue this analysis we introduce an expanded understanding of entropy and the role that it plays in EI. To illustrate these concepts we will use the Relational System Formalism developed by Jon Ray Hamann, Jere Northrop, and Andrius Kulikauskas. This provides a path for understanding the progressive development of data, information, knowledge, and wisdom as forming an expanded version of entropy as a foundational concept of EI. This understanding has emerged as a powerful development from the reductionist paradigm as a model for understanding our universe. It shows how the four normed division algebras map into our understanding and use of data, information, knowledge, and wisdom.
Here is the basic structure of Relational Systems Theory.
The assumption is that there are four types of relations; self relational relations, linear relational relations, relational relation relations, and interrelational relations. Define a system as comprising a self relational relation and symbolize it as a circle. Then the other relations are symbolized as lines. These can connect systems to other systems, systems to relations, and relations connected only to other relations. Illustrate this as:
Using this formalism we present a restatement of the Divisions of Everything (DOE) and the Derivation of Archetypal Meaning (DAM) mentioned earlier. Here is the modification of the DOE:
Here is the modification of the Derivation of Archetypal Meaning (DAM):
This can be cast in circular form as:
We can expand the last symbol as follows:
![]() | ![]() |
Note that there are 24 spokes radiating from the DOE and that there 24 symbolic elements in the DAM. We can interrelate these two versions of the DOE and DAM by combining linear sequences of them in a mobius strip. To do this print out the following linear forms of the ,modified DOE and DAM.
Paste them back to back so that they are on both sides of a single strip, and the open circle that is on one side has the point on the other side. Paste the ends of the strip together with a half turn to form a mobius strip loop structure. In his formulation of the DOE Andrius used the following words to describe the various diagrams. See below.
We will use this Onesome, Twosome, ….., Nullsome vocabulary to identify the various diagrams in the modified DOE and DAM sequences in our mobius strip combination. Thus if we start at the DOE Onesome and continue to the DOE Twosome and beyond we will have viewed 16 diagrams before we will return to our starting diagram at the DOE Onesome.
The mobius strip model of the DOE DAM interaction – evolution allows us to visualize the following relationships.
Data - observable - particle - real numbers - thermodynamic entropy
Information - relatable - organization - complex numbers - informational entropy
Knowledge - applied - process - quaternions - biological entropy
Wisdom - evolving - understanding - octonions - evolutionary entropy
Here is some more discussion.
Data: Observable countable particles. Real numbers. Let the real numbers in DOE be represented by:
Our guidance comes from thermodynamics which uses the counting numbers and their extension to the real numbers. Here entropy is a function of the number and distribution of particles and their energies. It is a measure of the energy that is not useable and is wasted as heat in any real chemical reaction. For example consider a collection of particles (identities, self relational systems). Their number and distribution provides a measure of thermodynamic entropy for a real world collection of particles. The following diagram shows a collection of eight particles.
Place them in a volume, say a 4 by 4 cube comprising 64 boxes. What is the probability that a given particle will exist in a given box. These probabilities were traditionally defined as real number frequency functions. Consider expanding this to a billions or more particles and get the Boltzman Distribution: S = k ln p + b
Information: Relatable, organizational, emerging from Information Theory. Complex numbers.
Let the complex numbers in DOE be represented by:
Where a and b are real numbers and i is the square root of minus 1.
Data systems are organized by relating particles to each other. Information theory expanded the understanding of entropy to include a measure of information about a given energetic interaction or reaction. Systems were related to each other and not merely just counted.
This was expressed in terms of probabilities, which traditionally were defined as frequency functions. Later this was expanded to include numerical functions of systems of linguistic statements containing inferences defined on a specific hypothesis. Real numbers were initially used but this led to difficulties when describing wave behavior or color. This could be resolved by using Euler’s formula for complex numbers, e(exponent)ix = cos(x) + isin(x) which was first published in 1748.
The development of quantum mechanics in the mid 1920s with Heisenberg’s matrix mechanics and Schrödinger’s wave mechanics solidified the view that complex numbers were essential for successful descriptions of behavior at the quantum level. Thus a complex number is the preferred choice for a measure of probability as defined on linguistic statements. This can then be implemented in the Maximum Entropy Principle using complex numbers as a way of determining the best decision based on the available evidence.
Knowledge: Applied information, process, quaternions. Let the quaternions in DOE be represented by:
Here 1, -1, i, j, and k are represented by matrices with ij = k, jk = i, ki = j, and ijk = -1.
This leads to the emergence of biological entropy. At this point the particle becomes an organism. Not only can data be organized and related to other data, but it can also be related to the relations between the other data. This is how energy is applied to and flows through biological organisms and their ecosystems. The rise and success of quantum mechanics showed that this application needed to include the quaternions as well as the complex numbers to adequately describe the behavior of fundamental particles. This suggested that this also needs to be applied to the behavior of organisms and how they interact with each other and the ecosystems within which they are contained and which they also contain as subecosystems. These types of relational relations connect systems with other relations.
Wisdom: The evolving understanding of Knowledge, the octonions, evolutionary entropy.
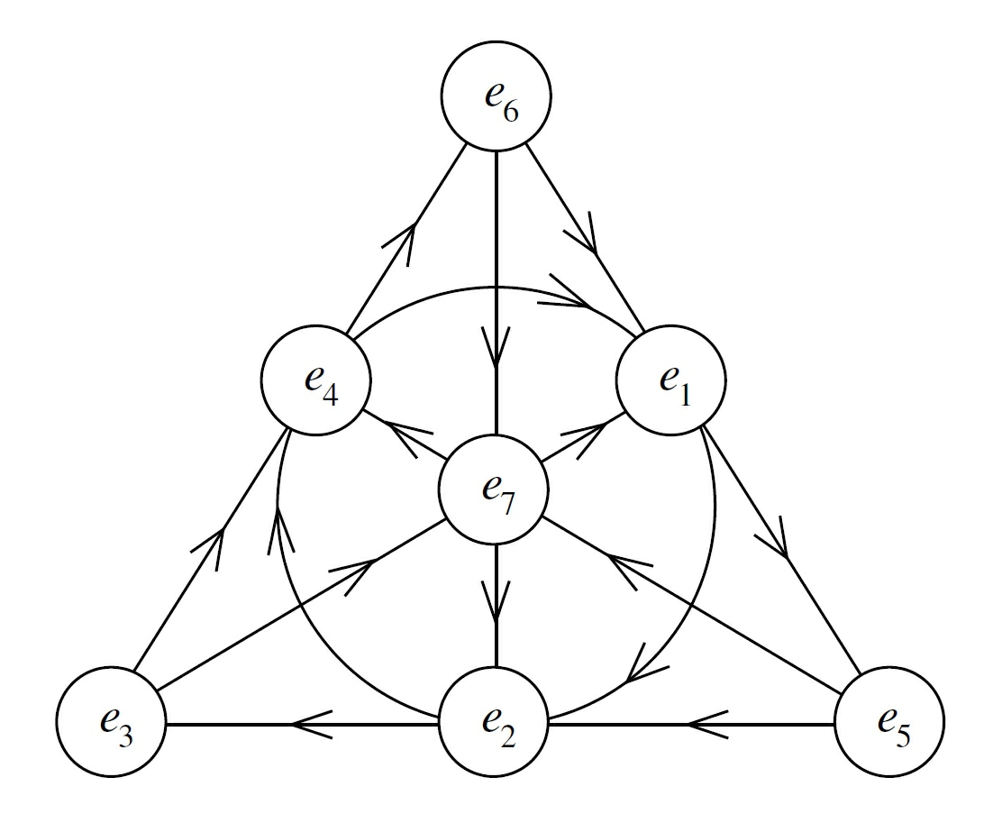
To show how the octonions are represented in DOE first consider the diagram below which represents the seven rotating elements of an octonion.
This can be extended into an octonion as shown in:
There are 24 spokes radiating out of this diagram. If the spokes are arrows pointing out the diagram represents everything, God. If the spokes are arrows pointing in, the diagram represents the collapse of everything into a point, a self, me or you in the universe.
This is the constraint by which evolution guides the sustainability and evolutionary capability of all organisms and ecosystems. What is good and right and sustainable for all concerned. We represent this with the octonions, the fourth normed division algebra and a mathematical object which at present does not have a known application to our understanding of the universe. This derives from their property of non associativity which is not observable in our perceived external reality. However, non associativity is a property of our use of grammatical structures in how we and other organisms intuitively use language. Hence it does exist in the biological universe of our planetary ecosystem.
We propose that this is a form of ecosystem evolutional entropy. It emerges as a property of ecosystem behavior that selects for survival, sustainability, and evolutionary potential. It is a fundamental property of the basic energy interactions of complex organisms and ecosystems in an environment with an organizing flow of energy moving through it. We can intuitively sense and understand this entropy but we cannot measure it with numbers.
As a final point we look at the DOE Nullsome leading to the DAM Onesome. This introduces the discussion of God and Self. Did God create me or did I create God. Which way do the arrows in the DOE Nullsome point.
All of this can be described very generally as the Goldilocks Quaternion Formulation of the Maximum Entropy Principle. Here Goldilocks is the artist, creator of the universe. She works and lives with an easy and intuitive understanding of the octonion grammar of Ecological Intelligence. The Maximum Entropy Principle contained in this process is expressed as a quaternion with complex number probabilities to interrelate what we observe and record with real numbers.
A hypothetical use of this principle in EI would cast the three quaternion basis elements, i, j, k, as bases for expected value functions for the best interest of the individual, the species, and the environment. The basis elements could be expressed as 4 by 4 matrices with zero, one, and minus one. Real number data, if available, would be inserted into the functions. There are eight possible quaternions that could be used this way, and it would fall to Goldilocks to choose which one is best, an expansion of the role of what is too hot, too cold, or about right. The Ecological Intelligence Module shows how the functions might be constructed. This is a preliminary draft document that was generated in the early development of the generation 2 ecotechnology and will be updated in the future. It provides an illustration of how mathematics can serve as a guide to understand how we make decisions without doing calculations.
Thus, unlike the case of the Maximum Entropy Principle derived from statistical mechanics, it is impossible to calculate an answer or a best solution from such “equations”. However, it may be of practical use if viewed as a simple guideline, an expression of how to look at such situations in real life, without having to do or understand the math. What does an artist, or an ecotechnologist, or a member of an indigenous peoples community, do. What do you do every day in the decisions you make.
A significant consequence of the EI paradigm is that it offers a way to resolve some of our most current global problems including Climate Change, environmental destruction, rising extreme wealth inequality, and autocratic governance. These can be seen to be a consequence of the seductive power of the technology and world view which emerged in Human Intelligence with the success of urbanization, technology. and the reductionist paradigm over the last 10,000 years or so. This tended to take precedence over the million plus year evolution of EI in that it made it easier for language based pathologies such as arrogance, greed, and entitlement (as examples of Informational Disease) to be exploited by a few for personal advantage at the expense of a large majority of others. This can be addressed and eliminated by incorporating a return to EI as a major component of HI and the derivative AI technologies that are currently emerging. See a preview on this in the Relational Symmetry Paradigm at Language of Wisdom.
The Cosmic Crossword Puzzle: We invite everyone to create and use their own words to describe this symbolic formalism. Or better yet, make up your own symbolic formalism and words and apply it to your life.
Additional evolving descriptions and details as to how all this works can be found in the following sources.
1. Learn about how EI works by doing ecotechnology. (see TimberFish Technologies after this EI section) This shows that in Nature there is no extreme wealth inequality, no largescale autocracy, and all organisms use the same basic carbon currency.
2. Examine the nature of human Natural Languages, how these can evolve and lead to an expansion of Human Intelligence (HI), and how this has come to differ from EI. See EI Language section below.
3. Explore how mathematics arises from our Natural Languages, how this can help us understand EI in comparison with HI. This will also include how EI will interact with and influence Artificial Intelligence (AI), Artificial General Intelligence (AGI), and Artificial Superintelligence (ASI) to further the power and utility of HI. See EI Mathematics section below.
Language
This section will contain a discussion of the respective languages developed by Jere Northrop and Andrius Kulikauskas in Language of Wisdom.
A discussion of the Will to Beauty and Formology of Montijn van Loo will also be added. See Formology
A discussion of Informational Disease and how this can be cured by EI will be explained and an invitation to interact and participate in the evolution of our symbolic language creations will be presented in a Cosmic Crossword section.
Math
Descriptions and discussions of the mathematics that underlies the various languages discussed above will be presented. This will include Andrius’ exploration of Bott periodicity, his Allegory paper, and other mathematical writings. See Math 4 Wisdom
It will also include Jere’s views of number and his use of quaternions in ododu and the Relational Symmetry Paradigm.
Other relevant papers include:
Quaternions
{$1, i=\{j,k\}, j=\{k,i\}, k=\{i,j\} $}
Octonions
{$1, i=\{j,k\}, j=\{k,i\}, k=\{i,j\}, I=\{i,L\}, J=\{j,L\}, K=\{k,L\}, L$}





















